基本信息:
中文名称 羟丙茶碱
中文别名 7-(2-羟丙基)-1,3-二甲基黄嘌呤;7-[(2RS)-2-羟丙基]-1,3-二甲基-3,7-二氢-1H-嘌呤-2.6-二酮;金属硫蛋白;7-(2-羟丙基)茶碱;7-(β-羟丙基)茶碱;7-(2-羟基丙基)-1,3-二甲基-3,7-二氢-1H-嘌呤-2,6-二酮;
英文名称 7-(β-Hydroxypropyl)theophylline
英文别名 (1,3-Dimethyl-7-[2-hydroxypropyl]-2,6-dioxopurine);7-(2-hydroxypropyl)-1,3-dimethylpurine-2,6-dione;
CAS号 603-00-9
合成路线:
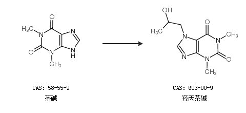
1.通过茶碱合成羟丙茶碱

2.通过1-溴-2-丙醇和茶碱合成羟丙茶碱

中华试剂网提醒 合成路线仅供参考