基本信息:
中文名称 2-(4-氟苄基)丙二酸二乙酯
英文名称 diethyl 2-[(4-fluorophenyl)methyl]propanedioate
英文别名 Propanedioic acid,[(4-fluorophenyl)methyl]-,diethyl ester;p-Fluorbenzyl-malonsaeure-diethylester;DIETHYL (4-FLUOROBENZYL))MALONATE;2-(4-fluoro-benzyl)-malonic acid diethyl ester;
CAS号 59223-74-4
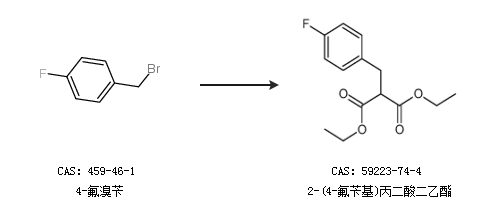
合成路线:
1.通过4-氟溴苄合成2-(4-氟苄基)丙二酸二乙酯

中华试剂网提醒 合成路线仅供参考