基本信息:
中文名称 2-甲基烟酰胺
中文别名 2-甲基-3-吡啶甲酰胺;2-甲基-(9ci)-3-吡啶羧胺;
英文名称 2-methylpyridine-3-carboxamide
英文别名 2-methyl nicotinic acid;1-Methyl-nicotinamid;3-Pyridinecarboxamide,2-methyl-(9CI);2-Methyl-nicotinamid;2-Methyl-nicotinsaeure-amid;2-Methyl-nicotinamide;2-methyl-nicotinic acid amide;
CAS号 58539-65-4
合成路线:
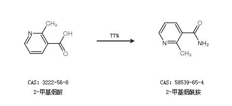
1.通过2-甲基烟酸合成2-甲基烟酰胺,收率约77%;

2.通过2-甲基烟酰氯合成2-甲基烟酰胺,收率约69%;

中华试剂网提醒 合成路线仅供参考