基本信息:
中文名称 3-氨基-4-甲基戊酸
中文别名 DL-β-Leucine;DL-β-亮氨酸;
英文名称 (3R)-β-leucine
英文别名 (3R)-beta-leucine;3-Amino-4-methyl-pentanoic acid;3-amino-4-methyl-valeric acid;3-AMINO-4-METHYLPENTANOIC ACID;Pentanoic acid,3-amino-4-methyl;
CAS号 5699-54-7
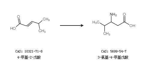
合成路线:
1.通过4-甲基-2-戊酸合成3-氨基-4-甲基戊酸

中华试剂网提醒 合成路线仅供参考