基本信息:
中文名称 2’-O-甲基-5-甲基尿苷
中文别名 5-甲基-2''-甲氧基尿苷;5-甲基-2''-氧甲基尿苷;2''-O-甲基-5-甲基尿苷;
英文名称 2''-O-methyl-5-methyluridine
英文别名 5-Me-2''-OMe Uridine;2''-O-METHYLRIBOTHYMIDINE;2''-O-methyl-5-methylUrd;1-[(2r,3r,4r,5r)-4-hydroxy-5-(hydroxymethyl)-3-methoxyoxolan-2-yl]-5-methylpyrimidine-2,4-dione;5,2''-O-Dimethyluridine;2''-O-Methyl-5-methyluridine 4518;2-methoxy-5-methyluridine;5-METHY-5-METHYLURIDINE;5-Me-2''-OMe-U;5-METHYL-2''-O-METHYLURIDINE;2''-O,5-dimethyluridine;
CAS号 55486-09-4
合成路线:
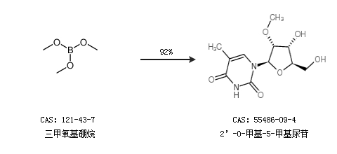
1.通过三甲氧基硼烷合成2’-O-甲基-5-甲基尿苷,收率约92%;

2.通过DMT-2''-甲氧基-5-甲基尿苷合成2’-O-甲基-5-甲基尿苷,收率约38%;

中华试剂网提醒 合成路线仅供参考