基本信息:
中文名称 DL-2,4-二氯苯丙氨酸
中文别名 2,4-二氯苯丙氨酸;2,4-二氯-dl-苯丙氨酸;4-二氯苯丙氨酸;
英文名称 2-amino-3-(2,4-dichlorophenyl)propanoic acid
英文别名 BOC-D-2;BOC-2;2,4-diCl-Phe;2,4-Dichloro-DL-phenylalanine;2,4-dichloro-phenylalanine;D,L 2,4-dichlorophenylalanine;2,4-Dichlor-phenylalanin;4-Dichloro-DL-phenylalanine;DL-3-(2,4-Dichlorophenyl)alanine;rac-2,4-dichloro-Phe;
CAS号 5472-68-4
合成路线:
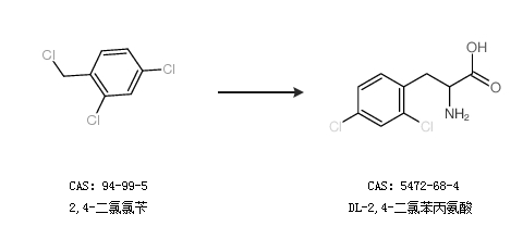
1.通过2,4-二氯氯苄合成DL-2,4-二氯苯丙氨酸

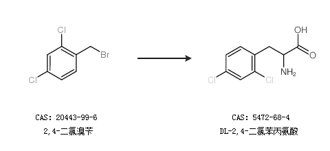
2.通过2,4-二氯溴苄合成DL-2,4-二氯苯丙氨酸

中华试剂网提醒 合成路线仅供参考