你好,欢迎来到中华试剂网 购试剂 买耗材! [请登录][注册有惊喜]

货号快速下单 | 签到送积分   | 会员中心 | 客服热线:400-021-2765

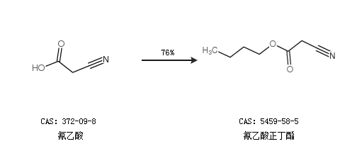
氰乙酸正丁酯的合成路线

提问时间:2021/4/26 8:22:11
氰乙酸正丁酯是什么,有什么方法可以合成?

1条回复:

匿名
2021/4/26 8:22:11
基本信息:
中文名称 氰乙酸正丁酯
中文别名 正丁基氰乙酸酯;氰乙酸丁酯;氰基乙酸正丁酯;
英文名称 n-Butyl cyanoacetate
英文别名 butyl 2-cyanoacetate;
CAS号 5459-58-5

合成路线:
1.通过氰乙酸和正丁醇合成氰乙酸正丁酯,收率约96%;


2.通过氰乙酸合成氰乙酸正丁酯,收率约76%;


中华试剂网提醒 合成路线仅供参考
回复