你好,欢迎来到中华试剂网 购试剂 买耗材! [请登录][注册有惊喜]

货号快速下单 | 签到送积分   | 会员中心 | 客服热线:400-021-2765

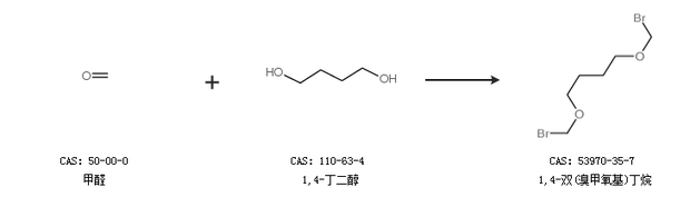
1,4-双(溴甲氧基)丁烷的合成路线

提问时间:2021/4/26 8:22:11
1,4-双(溴甲氧基)丁烷是什么,有什么方法可以合成?

1条回复:

匿名
2021/4/26 8:22:11
基本信息:
中文名称 1,4-双(溴甲氧基)丁烷
英文名称 1,4-bis(bromomethoxy)butane
英文别名 EINECS 258-892-4;1,4-Bis-<brommethoxy>-butan;1,4-bis-bromomethoxy-butane;
CAS号 53970-35-7

合成路线:
1.通过甲醛和1,4-丁二醇合成1,4-双(溴甲氧基)丁烷


中华试剂网提醒 合成路线仅供参考
回复