基本信息:
中文名称 三氮脒
中文别名 二脒那嗪;4,4''-(1-三氮烯-1,3-)双苯甲脒;
英文名称 diminazene
英文别名 4,4''-(Diazoamino)dibenzamidine;Diminazene;4,4''-(Azoimino)bis(benzamidine);4-[N''-(4-amidinophenyl)iminohydrazino]benzamidine;4,4''-(1,3-Triazenediyl)bis(benzamidine);1,3-bis(4-amidinophenyl)triazene;4,4''-(1-triazene-1,3-diyl)bisbenzenecarboximidamide;4-[2-(4-carbamimidoylphenyl)iminohydrazinyl]benzenecarboximidamide;4-[(4-Amidinophenylazo)amino]benzamidine;4-[(2E)-3-(4-carbaMiMidoylphenyl)triaz-2-en-1-yl]benzene-1-carboxiMidaMide;
CAS号 536-71-0
合成路线:
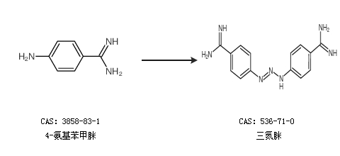
1.通过4-氨基苯甲脒合成三氮脒

中华试剂网提醒 合成路线仅供参考