基本信息:
中文名称 (R)-(-)-5-氧代-2-四氢呋喃羧酸
中文别名 R-(-)-5-氧代四氢呋喃-2-羧酸;(R)-(-)-5-氧代四氢呋喃-2-羧酸;(R)-(-)-5-酮基四氢呋喃-2-羧酸;(R)-(-)-γ-羧基-γ-丁内酯;
英文名称 (<i>R</i>)-(-)-5-Oxotetrahydrofuran-2-carboxylic Acid
英文别名 (R)-(-)-5-Oxo-2-tetrahydrofuroic Acid;(2R)-5-oxooxolane-2-carboxylic acid;(R)-(-)-5-Oxo-2-tetrahydrofurancarboxylic acid;(R)-(-)-γ-Carboxy-γ-butyrolactone;(R)-5-Oxotetrahydrofuran-2-carboxylic acid;(R)-(-)-5-Oxotetrahydrofuran-2-carboxylic Acid;
CAS号 53558-93-3
合成路线:
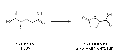
1.通过谷氨酸合成(R)-(-)-5-氧代-2-四氢呋喃羧酸

中华试剂网提醒 合成路线仅供参考