你好,欢迎来到中华试剂网 购试剂 买耗材! [请登录][注册有惊喜]

货号快速下单 | 签到送积分   | 会员中心 | 客服热线:400-021-2765

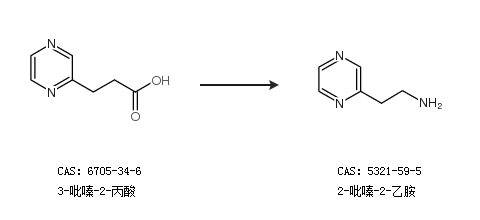
2-吡嗪-2-乙胺的合成路线

提问时间:2021/4/26 8:22:11
2-吡嗪-2-乙胺是什么,有什么方法可以合成?

1条回复:

匿名
2021/4/26 8:22:11
基本信息:
中文名称 2-吡嗪-2-乙胺
英文名称 2-pyrazin-2-ylethanamine
英文别名 2-Pyrazinyl-aethylamin;2-Pyrazineethanamine;2-Pyrazin-2-yl-ethylamine;2-pyrazinyl-ethylamine;
CAS号 5321-59-5

合成路线:
1.通过3-吡嗪-2-丙酸合成2-吡嗪-2-乙胺


中华试剂网提醒 合成路线仅供参考
回复