你好,欢迎来到中华试剂网 购试剂 买耗材! [请登录][注册有惊喜]

货号快速下单 | 签到送积分   | 会员中心 | 客服热线:400-021-2765

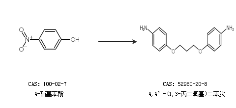
4,4’-(1,3-丙二氧基)二苯胺的合成路线

提问时间:2021/4/26 8:22:11
4,4’-(1,3-丙二氧基)二苯胺是什么,有什么方法可以合成?

1条回复:

匿名
2021/4/26 8:22:11
基本信息:
中文名称 4,4’-(1,3-丙二氧基)二苯胺
中文别名 4,4''-(1,3-丙二氧基)双苯胺;
英文名称 4-[3-(4-aminophenoxy)propoxy]aniline
CAS号 52980-20-8

合成路线:
1.通过N-乙酰对氨基酚和1,3-二溴丙烷合成4,4’-(1,3-丙二氧基)二苯胺,收率约77%;


2.通过4-硝基苯酚合成4,4’-(1,3-丙二氧基)二苯胺


中华试剂网提醒 合成路线仅供参考
回复