你好,欢迎来到中华试剂网 购试剂 买耗材! [请登录][注册有惊喜]

货号快速下单 | 签到送积分   | 会员中心 | 客服热线:400-021-2765

5-溴-2-硝基苯胺的合成路线

提问时间:2021/4/26 8:22:11
5-溴-2-硝基苯胺是什么,有什么方法可以合成?

1条回复:

匿名
2021/4/26 8:22:11
基本信息:
中文名称 5-溴-2-硝基苯胺
中文别名 2-硝基-5-溴苯胺;
英文名称 5-Bromo-2-nitroaniline
英文别名 5-bromo-2-nitroaniline;
CAS号 5228-61-5

合成路线:
1.通过2,4-二溴硝基苯合成5-溴-2-硝基苯胺,收率约93%;


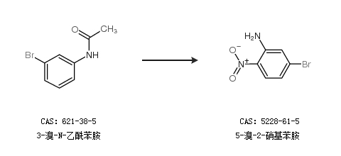
2.通过3-溴-N-乙酰苯胺合成5-溴-2-硝基苯胺


中华试剂网提醒 合成路线仅供参考
回复