基本信息:
中文名称 1-氯-2-(甲基磺酰基)乙烷
英文名称 1-chloro-2-methylsulfonylethane
英文别名 Acetyldimethylcyclopentenyl retinoic acid;(2-chloro-ethyl)-methyl sulfone;2,4,6,8-Nonatetraenoic acid,9-(2-acetyl-5,5-dimethyl-1-cyclopenten-1-yl)-3,7-dimethyl-,(all-E);1-chloro-2-methanesulfonyl-ethane;1-Chlor-2-methansulfonyl-aethan;1-Chloro-2-(methylsulphonyl)ethane;Ro 8-7669;1-Chloro-2-(methylsulfonyl)ethane;
CAS号 50890-51-2
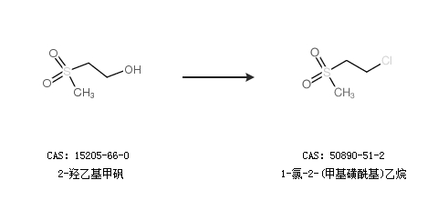
合成路线:
1.通过2-氯乙基甲基硫醚合成1-氯-2-(甲基磺酰基)乙烷,收率约82%;

2.通过2-羟乙基甲砜合成1-氯-2-(甲基磺酰基)乙烷

中华试剂网提醒 合成路线仅供参考