你好,欢迎来到中华试剂网 购试剂 买耗材! [请登录][注册有惊喜]

货号快速下单 | 签到送积分   | 会员中心 | 客服热线:400-021-2765

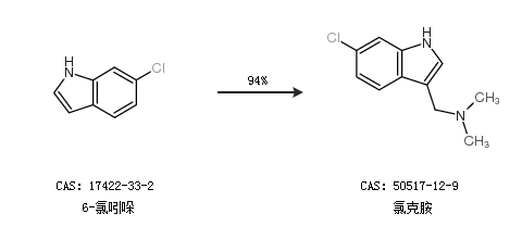
氯克胺的合成路线

提问时间:2021/4/26 8:22:09
氯克胺是什么,有什么方法可以合成?

1条回复:

匿名
2021/4/26 8:22:09
基本信息:
中文名称 氯克胺
英文名称 1-(6-chloro-1H-indol-3-yl)-N,N-dimethylmethanamine
英文别名 6-Chlor-gramin;6-Chlor-3-dimethylaminomethyl-indol;
CAS号 50517-12-9

合成路线:
1.通过6-氯吲哚合成氯克胺,收率约94%;


2.通过6-氯吲哚、甲醛和二甲胺合成氯克胺


中华试剂网提醒 合成路线仅供参考
回复