基本信息:
中文名称 2-(3-硝基苯基)喹噁啉
英文名称 2-(3-Nitrophenyl)quinoxaline
英文别名 3-(3-Nitrophenyl)-chinoxalin;nitrophenylquinoxaline;2-(3-Nitro-phenyl)-quinoxaline;2-(3-Nitrophenyl)-chinoxalin;2-(2-BENZOFURAN-2-YL-VINYL)-6-METHOXY-BENZOIC ACID METHYL ESTER;
CAS号 5021-44-3
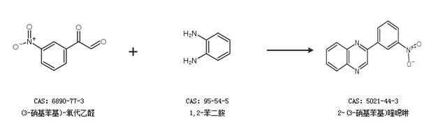
合成路线:
1.通过1,2-苯二胺和2-溴-3''-硝基苯乙酮合成2-(3-硝基苯基)喹噁啉,收率约91%;

2.通过(3-硝基苯基)-氧代乙醛和1,2-苯二胺合成2-(3-硝基苯基)喹噁啉

中华试剂网提醒 合成路线仅供参考