你好,欢迎来到中华试剂网 购试剂 买耗材! [请登录][注册有惊喜]

货号快速下单 | 签到送积分   | 会员中心 | 客服热线:400-021-2765

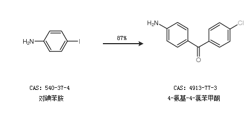
4-氨基-4-氯苯甲酮的合成路线

提问时间:2021/4/26 8:22:09
4-氨基-4-氯苯甲酮是什么,有什么方法可以合成?

1条回复:

匿名
2021/4/26 8:22:09
基本信息:
中文名称 4-氨基-4-氯苯甲酮
英文名称 (4-aminophenyl)-(4-chlorophenyl)methanone
英文别名 4-AMINO-4''-CHLOROBENZOPHENONE;4-Amino-4''-chlor-benzophenon;
CAS号 4913-77-3

合成路线:
1.通过4-氯-4-硝基苯甲酮合成4-氨基-4-氯苯甲酮,收率约96%;


2.通过对碘苯胺合成4-氨基-4-氯苯甲酮,收率约87%;


中华试剂网提醒 合成路线仅供参考
回复