你好,欢迎来到中华试剂网 购试剂 买耗材! [请登录][注册有惊喜]

货号快速下单 | 签到送积分   | 会员中心 | 客服热线:400-021-2765

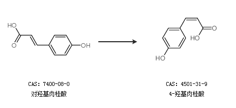
4-羟基肉桂酸的合成路线

提问时间:2021/4/26 8:22:08
4-羟基肉桂酸是什么,有什么方法可以合成?

1条回复:

匿名
2021/4/26 8:22:08
基本信息:
中文名称 4-羟基肉桂酸
中文别名 对香豆酸;
英文名称 cis-4-coumaric acid
英文别名 4-Hydroxycinnamic Acid;cis-p-Coumaric acid;
CAS号 4501-31-9

合成路线:
1.通过对羟基肉桂酸合成4-羟基肉桂酸


2.通过4-羟基肉桂酸甲酯合成4-羟基肉桂酸


中华试剂网提醒 合成路线仅供参考
回复