基本信息:
中文名称 6,11-二氢-5H-二苯并[b,e]氮杂卓
英文名称 6,11-dihydro-5H-benzo[c][1]benzazepine
英文别名 Dibenz[b,e]azepin,5,6(11H)dihydro;5,6-dihydromorphanthridine;5,6-dihydro-11H-dibenzo[b,e]azepine;6,11-Dihydro-5H-dibenz(b,e)azepine;6,11-dihydro-5H-dibenzo<b,e>azepine;5,6-dihydro-11H-dibenz<b,e>azepine;5H-Dibenz[b,e]azepine,6,11-dihydro;
CAS号 449-55-8
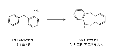
合成路线:
1.通过[2-(苄)苯基]甲醇合成6,11-二氢-5H-二苯并[b,e]氮杂卓,收率约85%;

2.通过邻苄基苯胺合成6,11-二氢-5H-二苯并[b,e]氮杂卓

中华试剂网提醒 合成路线仅供参考