基本信息:
中文名称 甲基丙烯酰异氰酸酯
英文名称 2-methylprop-2-enoyl isocyanate
英文别名 2-Propenoyl isocyanate,2-methyl;METHACRYLOYL ISOCYANATE;Methacryloylisocyanat;MAI;methylacryloyl isocyanate;
CAS号 4474-60-6
合成路线:
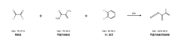
1.通过草酰氯、甲基丙烯酰胺和邻二氯苯合成甲基丙烯酰异氰酸酯,收率约87%;

2.通过甲基丙烯酰胺和邻二氯苯合成甲基丙烯酰异氰酸酯

中华试剂网提醒 合成路线仅供参考