基本信息:
中文名称 9,9-二蒽-10,10-9H,9H-二酮
中文别名 9,10-蒽二酮;(9,9’-二蒽)-10,10’-(9H,9’H)-二酮;(9,9''-二蒽)-10,10''-(9H,9''H)-二酮;二蒽酮基;(9,9`-二蒽)-10,10`-(9H,9`H)-二酮;
英文名称 10-(10-oxo-9H-anthracen-9-yl)-10H-anthracen-9-one
英文别名 10,10''-Dianthronyl;10,10''-Dihydrodianthrone;<10,10''-bianthryl>-9,9''-dione;BIANTHRONYL;10,10''-Dihydrobianthrone;10,10-Bianthrone;anthranyleneanthrone;10,10''-Bianthronyl;
CAS号 434-84-4
合成路线:
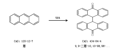
1.通过蒽合成9,9-二蒽-10,10-9H,9H-二酮,收率约56%;

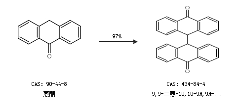
2.通过蒽酮合成9,9-二蒽-10,10-9H,9H-二酮,收率约97%;

中华试剂网提醒 合成路线仅供参考