基本信息:
中文名称 5-氯-1,2-苯异噻唑-3(2H)-酮
英文名称 5-chloro-1,2-benzothiazol-3-one
英文别名 5-chloro-1,2-benzisothiazol-3(2H)-one;5-Chloro-1,2-benzisothiazolin-3-one;1,2-Benzisothiazolin-3-one,5-chloro;5-Chloro-1,2-benzisothiazolone;5-Chlor-benz[d]isothiazol-3-on;5-chloro-benz[d]isothiazol-3-one;5-chloro-1,2-benzothiazol-3(2h)-one;5-chloro-benzo[d]isothiazol-3-one;5-Chlor-1,2-benzisothiazol-3-on;EINECS 224-385-1;5-Chlor-3-oxo-2,3-dihydro-benzisothiazol;
CAS号 4337-43-3
合成路线:
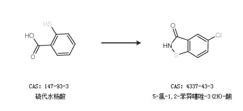
1.通过硫代水杨酸合成5-氯-1,2-苯异噻唑-3(2H)-酮

2.通过硫代水杨酸合成5-氯-1,2-苯异噻唑-3(2H)-酮

中华试剂网提醒 合成路线仅供参考