基本信息:
中文名称 1-(4-硝基-2-噻吩)-乙酮
英文名称 1-(4-nitrothiophen-2-yl)ethanone
英文别名 3-Nitro-5-acetyl-thiophen;1-(4-nitro-thiophen-2-yl)-ethanone;1-(4''-nitro-2''-thienyl)ethanone;2-ACETYL-4-NITROTHIOPHENE;Ethanone,1-(4-nitro-2-thienyl);1-(4-Nitro-[2]thienyl)-aethanon;2-Acetyl-4-nitro-thiophen;
CAS号 42791-51-5
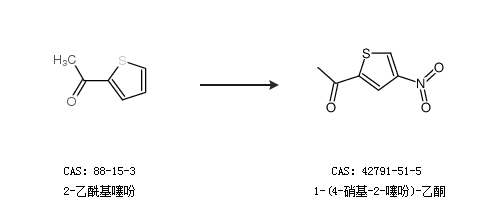
合成路线:
1.通过2-乙酰基噻吩合成1-(4-硝基-2-噻吩)-乙酮

2.通过5-乙酰基-2-噻吩甲醛合成1-(4-硝基-2-噻吩)-乙酮

中华试剂网提醒 合成路线仅供参考