基本信息:
中文名称 4-甲基-2-脲基戊酸
英文名称 2-(carbamoylamino)-4-methylpentanoic acid
英文别名 Carbaminyl-dl-leucin;CARBAMOYL-LEU-OH;N-carbamoylleucine;4-Methyl-2-ureido-pentanoic acid;N-carbamoyl-DL-leucine;N-Carbamoyl-leucin;N-Carbamyl-L-leucine;N-Carbamoyl-dl-leucin;
CAS号 42534-05-4
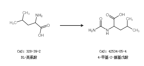
合成路线:
1.通过硝基脲和DL-亮氨酸合成4-甲基-2-脲基戊酸

2.通过DL-亮氨酸合成4-甲基-2-脲基戊酸

中华试剂网提醒 合成路线仅供参考