基本信息:
中文名称 4-(2-氯-1,1,2-三氟乙氧基)苯胺
中文别名 4-(2-氯-1,1,2-三氟乙氧基)-苯胺;
英文名称 4-(2-chloro-1,1,2-trifluoroethoxy)aniline
英文别名 4-(1,1,2-trifluoro-2-chloroethoxy)aniline;4-(2-Chlor-1,1,2-trifluor-aethoxy)-anilin;4-(2-chloro-1,1,2-trifluoro-ethoxy)-aniline;4-(2-chloro-1,1,2-trifluoroethoxy)benzeneamine;4-(2-Chloro-1,1,2-trifluoro-ethoxy)-phenylamine;
CAS号 403-61-2
合成路线:
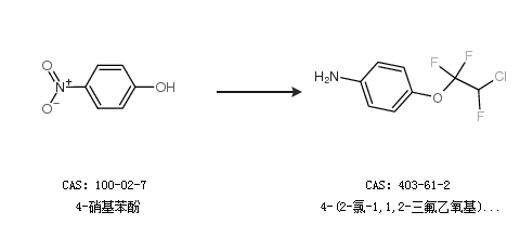
1.通过4-硝基苯酚合成4-(2-氯-1,1,2-三氟乙氧基)苯胺

2.通过N-乙酰对氨基酚合成4-(2-氯-1,1,2-三氟乙氧基)苯胺

中华试剂网提醒 合成路线仅供参考