你好,欢迎来到中华试剂网 购试剂 买耗材! [请登录][注册有惊喜]

货号快速下单 | 签到送积分   | 会员中心 | 客服热线:400-021-2765

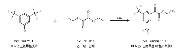
[3,5-双(三氟甲基)苯基](氧代)乙酸乙酯的合成路线

提问时间:2021/4/26 8:22:07
[3,5-双(三氟甲基)苯基](氧代)乙酸乙酯是什么,有什么方法可以合成?

1条回复:

匿名
2021/4/26 8:22:07
基本信息:
中文名称 [3,5-双(三氟甲基)苯基](氧代)乙酸乙酯
英文名称 ETHYL 2-[3,5-BIS(TRIFLUOROMETHYL)PHENYL]-2-OXOACETATE
CAS号 402568-10-9

合成路线:
1.通过3,5-双三氟甲基溴苯和乙二酸二乙酯合成[3,5-双(三氟甲基)苯基](氧代)乙酸乙酯,收率约64%;


中华试剂网提醒 合成路线仅供参考
回复