基本信息:
中文名称 地尔硫卓
中文别名 (2-氯-4-氟苯氧基)乙酸;
英文名称 2-(2-chloro-4-fluorophenoxy)acetic acid
英文别名 (2-Chlor-4-fluor-phenoxy)-essigsaeure;(2-chloro-4-fluoro-phenoxy)-acetic acid;acetic acid,2-(2-chloro-4-fluorophenoxy);[(2-chloro-4-fluorophenyl)oxy]acetic acid;
CAS号 399-41-7
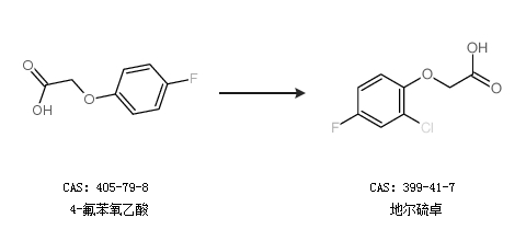
合成路线:
1.通过2-氯-4-氟苯酚和溴代乙酸乙酯合成地尔硫卓,收率约70%;

2.通过4-氟苯氧乙酸合成地尔硫卓

中华试剂网提醒 合成路线仅供参考