你好,欢迎来到中华试剂网 购试剂 买耗材! [请登录][注册有惊喜]

货号快速下单 | 签到送积分   | 会员中心 | 客服热线:400-021-2765

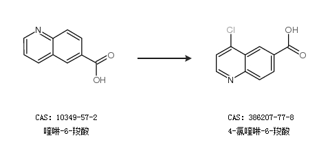
4-氯喹啉-6-羧酸的合成路线

提问时间:2021/4/26 8:22:07
4-氯喹啉-6-羧酸是什么,有什么方法可以合成?

1条回复:

匿名
2021/4/26 8:22:07
基本信息:
中文名称 4-氯喹啉-6-羧酸
中文别名 4-氯喹啉-6-甲酸;
英文名称 4-Chloroquinoline-6-carboxylic acid
英文别名 4-chloroquinoline-6-carboxylic acid;
CAS号 386207-77-8

合成路线:
1.通过喹啉-6-羧酸合成4-氯喹啉-6-羧酸


2.通过6-喹啉羧酸甲酯合成4-氯喹啉-6-羧酸


中华试剂网提醒 合成路线仅供参考
回复