基本信息:
中文名称 (乙基乙烯基磷酰基)-苯
英文名称 [ethenyl(ethyl)phosphoryl]benzene
英文别名 Phosphine oxide,ethenylethylphenyl;(ETHYL-VINYL-PHOSPHINOYL)-BENZENE;Aethyl-phenyl-vinyl-phosphinoxid;Ethylphenylvinylphosphinoxid;
CAS号 38318-56-8
合成路线:
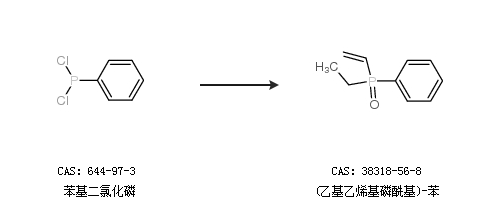
1.通过苯基二氯化磷合成(乙基乙烯基磷酰基)-苯

中华试剂网提醒 合成路线仅供参考