基本信息:
中文名称 三(三氟乙酸)硼烷
中文别名 四(三氟乙酸)硼烷;
英文名称 bis[(2,2,2-trifluoroacetyl)oxy]boranyl 2,2,2-trifluoroacetate
英文别名 Boron tris(trifluoroacetate);EINECS 206-507-5;BTFA Tris[trifluoroacetoxy]borane;
CAS号 350-70-9
合成路线:
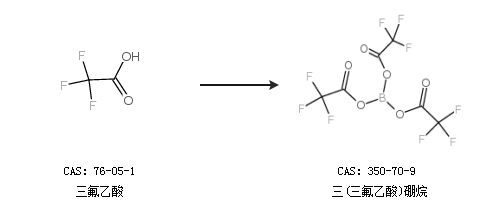
1.通过三氟乙酸合成三(三氟乙酸)硼烷

2.通过三甲基三氟乙酸和四氟硼酸重氮苯盐合成三(三氟乙酸)硼烷,收率约78%;

中华试剂网提醒 合成路线仅供参考