基本信息:
中文名称 2’-O-甲基5-碘代尿苷
中文别名 5-碘-2-o-甲基-尿苷;2''-甲氧基-5-碘-尿苷;
英文名称 2''-(O-METHYL)-5-IODOURIDINE
英文别名 2''-OMe-5-I-Uridine;5-Iodo-2''-O-methyluridin;5-IODO-2''-O-METHYLURIDINE;2''-OMe-5-I-U;Uridine,5-iodo-2''-O-Methyl;
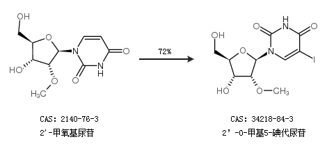
CAS号 34218-84-3
合成路线:
1.通过2''-甲氧基尿苷合成2’-O-甲基5-碘代尿苷,收率约72%;

中华试剂网提醒 合成路线仅供参考