基本信息:
中文名称 (S)-(-)-2-甲酰胺琥珀酸酐
中文别名 (S)-(-)-2-甲酰氨基琥珀酸酐;
英文名称 (S)-(-)-2-FORMAMIDOSUCCINIC ANHYDRIDE
英文别名 formyl aspartic acid anhydride;N-formyl aspartic acid anhydride;n-formylaspartic anhydride;N-Formyl-L-aspartic anhydride;(S)-(?)-2-Formamidosuccinic anhydride;N-formyl-L-aspartic acid anhydride;
CAS号 33605-73-1
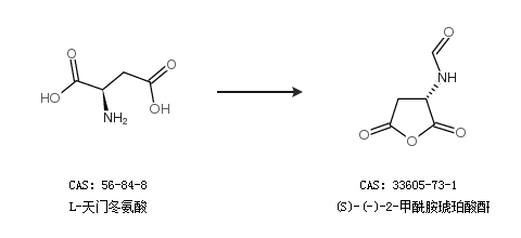
合成路线:
1.通过L-天门冬氨酸合成(S)-(-)-2-甲酰胺琥珀酸酐

中华试剂网提醒 合成路线仅供参考