基本信息:
中文名称 1,4-二羟基-2-萘甲酸
英文名称 1,4-dihydroxy-2-naphthoic acid
英文别名 1,4-Dihydroxy-2-naphthoic Acid;2-Naphthalenecarboxylic acid,1,4-dihydroxy;1,4-dihydroxy-2-naphthoate;1,4-naphthohydroquinone-2-carboxylic acid;1,4-dihydroxynaphthalene-2-carboxylic acid;1,4-dihydroxynaphthoic acid;1,4-Dihydroxy-2-naphthalenecarboxylic acid;1,4-dihydoxynaphthalene-2-carboxylic acid;1,4-Dihydroxy-2-naphthalenecarboxylic Acid;1,4-Dihydroxy-2-naphthoicAcid;1,4-dihydroxy-2-naphthalic acid;
CAS号 31519-22-9
合成路线:
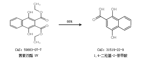
1.通过茜素双酯 UV合成1,4-二羟基-2-萘甲酸,收率约88%;

2.通过邻苯二甲酸二乙酯合成1,4-二羟基-2-萘甲酸

中华试剂网提醒 合成路线仅供参考