基本信息:
中文名称 4-(2-溴乙氧基)苯酚
英文名称 4-(2-BROMOETHOXY)PHENOL
英文别名 4-(2-Brom-aethoxy)-phenol;FR-2395;(2-Brom-aethyl)-(4-hydroxy-phenyl)-aether;4-Hydroxy-1-(2-brom-aethoxy)-benzol;Phenol,4-(2-bromoethoxy);O-(2-Brom-aethyl)-hydrochinon;4-(2-bromoethoxy)-phenol;
CAS号 31406-95-8
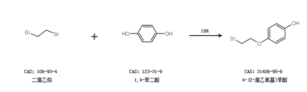
合成路线:
1.通过1-苄氧基-4-(2-溴乙氧基)苯合成4-(2-溴乙氧基)苯酚,收率约10%;

2.通过二溴乙烷和1,4-苯二酚合成4-(2-溴乙氧基)苯酚,收率约19%;

中华试剂网提醒 合成路线仅供参考