你好,欢迎来到中华试剂网 购试剂 买耗材! [请登录][注册有惊喜]

货号快速下单 | 签到送积分   | 会员中心 | 客服热线:400-021-2765

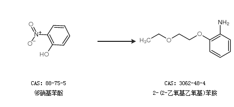
2-(2-乙氧基乙氧基)苯胺的合成路线

提问时间:2021/4/26 8:22:06
2-(2-乙氧基乙氧基)苯胺是什么,有什么方法可以合成?

1条回复:

匿名
2021/4/26 8:22:06
基本信息:
中文名称 2-(2-乙氧基乙氧基)苯胺
英文名称 2-(2-ETHOXYETHOXY)ANILINE
英文别名 2-Ethoxyethoxyaniline;
CAS号 3062-48-4

合成路线:
1.通过邻硝基苯酚合成2-(2-乙氧基乙氧基)苯胺


中华试剂网提醒 合成路线仅供参考
回复