基本信息:
中文名称 N,N-二乙基甘氨酸甲酯
英文名称 methyl 2-(diethylamino)acetate
英文别名 methyl N,N-diethylglycine;methyl n,n-diethylglycinate;methyl diethylaminoacetate;N,N-Diethylglycine Methyl Ester;N,N-Diaethyl-glycin-methylester;N,N-diethyl-glycine methyl ester;
CAS号 30280-35-4
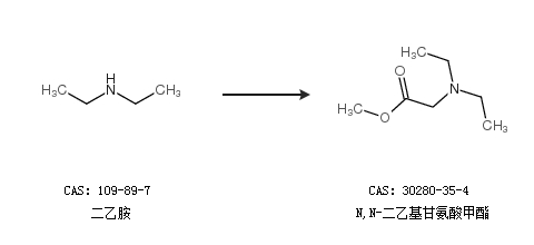
合成路线:
1.通过二乙胺合成N,N-二乙基甘氨酸甲酯

2.通过溴乙酸甲酯合成N,N-二乙基甘氨酸甲酯

中华试剂网提醒 合成路线仅供参考