基本信息:
中文名称 顺-1,2-环丁二甲酯(CBDE)
中文别名 顺式-1,2-环丁烷二羧酸二甲酯;
英文名称 CIS-1,2-CYCLOBUTANEDICARBOXYLIC ACID DIMETHYL ESTER
英文别名 CIS-DIMETHYL CYCLOBUTANE-1,2-DICARBOXYLATE;cis-Cyclobutan-1,2-dicarbonsaeure-dimethylester;dimethyl cis-1,2-cyclobutanedicarboxylate;1,2-Cyclobutanedicarboxylic acid (1R,2S)-rel-1,2-dimethyl ester;dimethyl cis-cyclobutane-1,2-dicarboxylate;Cis-diMethyl-1,2-cyclobutane dicarboxylate (CBDE);cis-1,2-cyclobutane dimethylcarboxylate;(1R,2S)-rel-1,2-cyclobutanedicarboxylic acid dimethyl ester;cyclobutane-1,2-dicarboxylic acid dimethyl ester;cis-Cyclobutan-dicarbonsaeure-(1.2)-dimethylester;cis-cyclobutane-dicarboxylic acid-(1.2)-dimethyl ester;
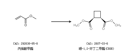
CAS号 2607-03-6
合成路线:
1.通过重氮甲烷和反式-环丁烷-1,2-二羧酸合成顺-1,2-环丁二甲酯(CBDE),收率约97%;

2.通过丙烯酸甲酯合成顺-1,2-环丁二甲酯(CBDE)

中华试剂网提醒 合成路线仅供参考