你好,欢迎来到中华试剂网 购试剂 买耗材! [请登录][注册有惊喜]

货号快速下单 | 签到送积分   | 会员中心 | 客服热线:400-021-2765

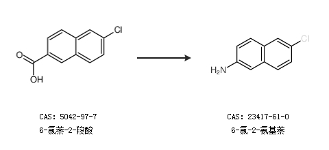
6-氯-2-氨基萘的合成路线

提问时间:2021/4/26 8:22:04
6-氯-2-氨基萘是什么,有什么方法可以合成?

1条回复:

匿名
2021/4/26 8:22:04
基本信息:
中文名称 6-氯-2-氨基萘
英文名称 6-Chlor-2-amino-naphthalin
英文别名 6-Chlor-2-naphthylamin;6-chloronaphthalen-2-aMine;
CAS号 23417-61-0

合成路线:
1.通过6-氯萘-2-羧酸合成6-氯-2-氨基萘


2.通过6-溴-2-萘甲酸合成6-氯-2-氨基萘


中华试剂网提醒 合成路线仅供参考
回复