你好,欢迎来到中华试剂网 购试剂 买耗材! [请登录][注册有惊喜]

货号快速下单 | 签到送积分   | 会员中心 | 客服热线:400-021-2765

(S)-甲基吡咯烷-3-甲酯的合成路线

提问时间:2021/4/26 8:22:03
(S)-甲基吡咯烷-3-甲酯是什么,有什么方法可以合成?

1条回复:

匿名
2021/4/26 8:22:03
基本信息:
中文名称 (S)-甲基吡咯烷-3-甲酯
中文别名 (R)-甲基吡咯烷-3-羧酸;
英文名称 methyl (3S)-pyrrolidine-3-carboxylate
英文别名 HT1114;
CAS号 216311-60-3

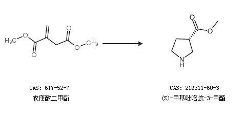
合成路线:
1.通过1-苄基-5-氧-3-吡咯烷羧酸甲酯合成(S)-甲基吡咯烷-3-甲酯


2.通过衣康酸二甲酯合成(S)-甲基吡咯烷-3-甲酯


中华试剂网提醒 合成路线仅供参考
回复