基本信息:
中文名称 L-谷氨酸=gamma-肼
英文名称 L-GLUTAMIC ACID γ-HYDRAZIDE
英文别名 G-L-GLUTAMYL HYDRAZIDE;L-GLUTAMICACIDG-HYDRAZIDE;L-Glutaminsaeure-5-hydrazid;L-2-Amino-glutarsaeure-5-hydrazid;L-Glutamic acid 5-hydrazide;
CAS号 1820-73-1
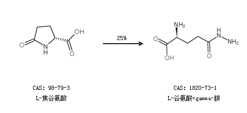
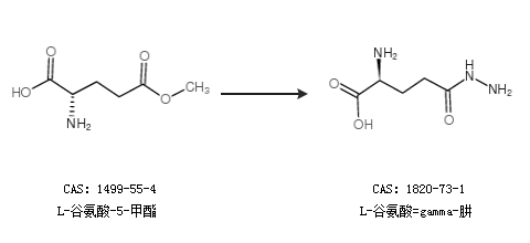
合成路线:
1.通过L-焦谷氨酸合成L-谷氨酸=gamma-肼,收率约25%;

2.通过L-谷氨酸-5-甲酯合成L-谷氨酸=gamma-肼

中华试剂网提醒 合成路线仅供参考