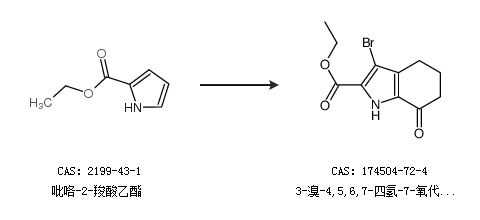
基本信息:
中文名称 3-溴-4,5,6,7-四氢-7-氧代-1H-吲哚-2-羧酸乙酯
英文名称 ethyl 3-bromo-7-oxo-1,4,5,6-tetrahydroindole-2-carboxylate
英文别名 1H-INDOLE-2-CARBOXYLIC ACID,3-BROMO-4,5,6,7-TETRAHYDRO-7-OXO-,ETHYL ESTER;Ethyl 3-bromo-7-oxo-4,5,6,7-tetrahydro-1H-indole-2-carboxylate;ethyl 3-bromo-7-oxo-4,5,6,7-tetrahydroindole-2-carboxylate;
CAS号 174504-72-4
合成路线:
1.通过吡咯-2-羧酸乙酯合成3-溴-4,5,6,7-四氢-7-氧代-1H-吲哚-2-羧酸乙酯

中华试剂网提醒 合成路线仅供参考