基本信息:
中文名称 (R)-(-)-2-[2-(二苯基膦)苯基]-4-苯基-2-噁唑啉
英文名称 diphenyl-[2-[(4R)-4-phenyl-4,5-dihydro-1,3-oxazol-2-yl]phenyl]phosphane
英文别名 (R)-Ph-PHOX;(4R)-2-[2-(diphenylphosphino)phenyl]-4-phenyl-4,5-dihydro-1,3-oxazole;(R)-2-[2-(diphenylphosphino)phenyl]-4-phenyl-2-oxazoline;(R)-2-(2-diphenylphosphinophenyl)-4-phenyl-oxazoline;(-)-(R)-2-(2-diphenylphosphinophenyl)-4-phenyl-4,5-dihydrooxazole;(R)-(-)-[2-(diphenylphosphanyl)phenyl]-4-phenyl-2-oxazoline;
CAS号 167171-03-1
合成路线:
1.通过二苯基磷化钾溶液合成(R)-(-)-2-[2-(二苯基膦)苯基]-4-苯基-2-噁唑啉,收率约77%;

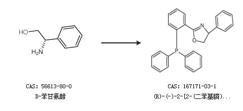
2.通过D-苯甘氨醇合成(R)-(-)-2-[2-(二苯基膦)苯基]-4-苯基-2-噁唑啉

中华试剂网提醒 合成路线仅供参考