基本信息:
中文名称 2,4-二硝基苯磺酰氯
中文别名 氯化磺醯基二硝基苯;氯化-2,4-二硝基苯磺酰;
英文名称 2,4-DINITROBENZENESULFONYL CHLORIDE
英文别名 4-NO2-2-Nos-Cl;2,4-Dinitrobenzene-1-sulfonyl chloride;Benzenesulfonyl chloride,2,4-dinitro;2,4-Dinitrobenzenesulphonyl chloride;DNBS-chloride;2,4-dinitrophenylsulfonyl chloride;2,4-dinitrobenzylsulfonyl chloride;2,4-Dinitrobenzenesulfonyl chloride;2,4-dinitrobenzene-sulfonyl chloride;
CAS号 1656-44-6
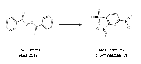
合成路线:
1.通过双(2,4-二硝基苯)二硫化碳合成2,4-二硝基苯磺酰氯

2.通过过氧化苯甲酰合成2,4-二硝基苯磺酰氯

中华试剂网提醒 合成路线仅供参考