基本信息:
中文名称 环己甲酰胺
中文别名 羟基环己烷;环己酰胺;
英文名称 Cyclohexanecarboxamide
英文别名 Cyclohexylcarboxamide;Cyclohexamethylene carbamide;cyclohexyl amide;hexahydrobenzamide;EINECS 214-351-4;carboxamide cyclohexane;cyclohexanamide;Cyclohexylcarboxyamide;Hexahydrobenzoic acid amide;
CAS号 1122-56-1
合成路线:
1.通过环己甲腈合成环己甲酰胺,收率约93%;

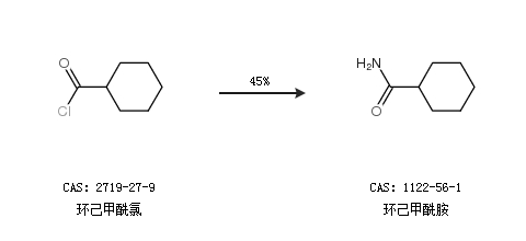
2.通过环己甲酰氯合成环己甲酰胺,收率约45%;

中华试剂网提醒 合成路线仅供参考