基本信息:
中文名称 7-(4,4,5,5-四甲基-1,3,2-二噁硼烷-2-基)-3,4-二氢-2H-苯并[b][1,4]噁嗪
英文名称 7-(4,4,5,5-Tetramethyl-1,3,2-dioxaborolan-2-yl)-3,4-dihydro-2H-benzo[b][1,4]oxazine
英文别名 7-(4,4,5,5-tetramethyl-1,3,2-dioxaborolan-2-yl)-3,4-dihydro-2H-1,4-benzoxazine;
CAS号 1361110-64-6
合成路线:
1.通过7-溴-3,4-二氢-2H-1,4-苯并恶嗪和联硼酸频那醇酯合成7-(4,4,5,5-四甲基-1,3,2-二噁硼烷-2-基)-3,4-二氢-2H-苯并[b][1,4]噁嗪,收率约77%;

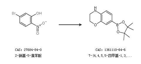
2.通过2-硝基-5-溴苯酚合成7-(4,4,5,5-四甲基-1,3,2-二噁硼烷-2-基)-3,4-二氢-2H-苯并[b][1,4]噁嗪

中华试剂网提醒:合成路线仅供参考