你好,欢迎来到中华试剂网 购试剂 买耗材! [请登录][注册有惊喜]

货号快速下单 | 签到送积分   | 会员中心 | 客服热线:400-021-2765

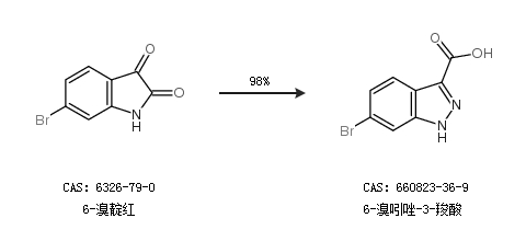
6-溴吲唑-3-羧酸的合成路线

提问时间:2021/4/23 8:56:11
6-溴吲唑-3-羧酸有什么方法可以合成?

1条回复:

匿名
2021/4/23 8:56:11
基本信息:
中文名称 6-溴吲唑-3-羧酸
中文别名 6-溴吲唑-3-甲酸;
英文名称 6-Bromo-1H-indazole-3-carboxylic acid
英文别名 6-bromo-1H-indazole-3-carboxylic acid;
CAS号 660823-36-9

合成路线:
1.通过6-溴靛红合成6-溴吲唑-3-羧酸,收率约98%;


中华试剂网提醒:合成路线仅供参考
回复