基本信息:
中文名称 6-溴烟酸甲酯
中文别名 2-溴吡啶-5-甲酸甲酯;2-溴-5-甲酸甲酯吡啶;6-溴吡啶-3-甲酸甲酯;
英文名称 Methyl 6-bromonicotinate
英文别名 6-Bromopyridine-3-carboxylic Acid Methyl Ester;6-Bromonicotinic Acid Methyl Ester;Methyl 6-Bromonicotinate;methyl 6-bromopyridine-3-carboxylate;Methyl 6-Bromopyridine-3-carboxylate;
CAS号 26218-78-0
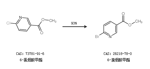
合成路线:
1.通过甲醇和6-溴烟酸合成6-溴烟酸甲酯,收率约99%;

2.通过6-氯烟酸甲酯合成6-溴烟酸甲酯,收率约93%;

中华试剂网提醒:合成路线仅供参考