基本信息:
中文名称 6-溴-1H-咪唑-3-羧酸乙酯
中文别名 6-溴-1H-吲唑-3-羧酸乙酯;6-溴吲唑-3-甲酸甲酯;
英文名称 Ethyl 6-bromo-1H-indazole-3-carboxylate
英文别名 ethyl 6-bromo-1H-indazole-3-carboxylate;
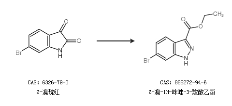
CAS号 885272-94-6
合成路线:
1.通过6-溴吲唑-3-羧酸和乙醇合成6-溴-1H-咪唑-3-羧酸乙酯

2.通过6-溴靛红合成6-溴-1H-咪唑-3-羧酸乙酯

中华试剂网提醒:合成路线仅供参考