基本信息:
中文名称 6-溴-1,2-苯并异噻唑-3-甲酸
中文别名 6-溴-1,2-苯并异噻唑-3-羧酸;
英文名称 6-Bromobenzo[d]isothiazole-3-carboxylic acid
英文别名 6-bromo-1,2-benzothiazole-3-carboxylic acid;
CAS号 677304-75-5
合成路线:
1.通过6-溴-1,2-苯并异噻唑-3-甲酰胺合成6-溴-1,2-苯并异噻唑-3-甲酸,收率约91%;

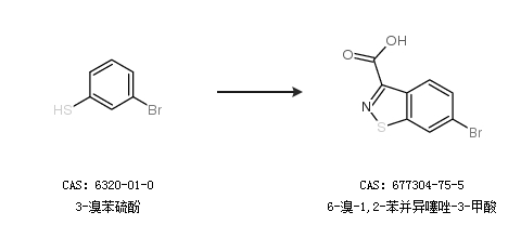
2.通过3-溴苯硫酚合成6-溴-1,2-苯并异噻唑-3-甲酸

中华试剂网提醒:合成路线仅供参考