你好,欢迎来到中华试剂网 购试剂 买耗材! [请登录][注册有惊喜]

货号快速下单 | 签到送积分   | 会员中心 | 客服热线:400-021-2765

6-硝基-异喹啉的合成路线

提问时间:2021/4/23 8:56:11
6-硝基-异喹啉有什么方法可以合成?

1条回复:

匿名
2021/4/23 8:56:11
基本信息:
中文名称 6-硝基-异喹啉
英文名称 6-Nitroisoquinoline
英文别名 6-NITROISOQUINOLINE;
CAS号 70538-57-7

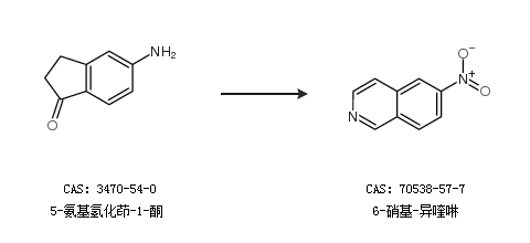
合成路线:
1.通过5-氨基氢化茚-1-酮合成6-硝基-异喹啉


2.通过1,2,3,4-四氢异喹啉合成6-硝基-异喹啉


中华试剂网提醒:合成路线仅供参考
回复